合作客户/
拜耳公司 |
同济大学 |
联合大学 |
美国保洁 |
美国强生 |
瑞士罗氏 |
相关新闻Info
-
> 烷基糖苷聚氧丙烯醚制备过程、表面张力、泡沫去污乳化性能测定——结果与讨论、结论
> 不同水淹程度的油藏环境下微生物提高采收率、采出液的表面张力与界面张力的变化(一)
> 10种常用表面活性剂水溶液的表面张力测定、泡沫的产生和测试(二)
> ?基于液体表面张力的贴附力理论模型及实验验证
> 血脑屏障概述
> pH、温度、盐度、碳源对 解烃菌BD-2产生物表面活性剂的影响——摘要、前言
> 纳米沸石咪唑酯骨架ZIF-8颗粒的油水界面张力和接触角测定及岩心驱替实验——结果与讨论、结论
> 黏土塑性和掺合水之间的关系
> 羧酸盐型Gemini表面活性剂GAC-31合成条件及表、界面活性研究(一)
> 为什么水与油互不相溶?
一种耐超高温酸液体系、制备方法及其应用
来源:中国石油集团西部钻探工程有限公司 中国石油天然气集团有限公司 浏览 178 次 发布时间:2025-09-24
我国目前开发的储层中相当大一部分为超高温储层,用常规酸化技术改造这类储层,酸液会在近井地带发生剧烈反应,并导致地下管柱在酸液作用下产生严重的腐蚀,这不仅会导致酸液在近井地带被大量消耗,还会对地下施工造成极大的安全隐患,极大的影响酸化作业的效果。针对此类储层,需要采用耐高温、耐高温缓蚀的酸液体系,才能达到酸化改造的目的。
目前,在油田的酸化改造中普遍使用缓速酸体系来减缓酸岩反应速率。但现有的缓速酸体系已无法满足超高温储层的酸化改造,这是由于超高温储层的温度往往超过180℃,常规的酸液体系在超高温下酸岩反应速率会变得十分迅速,常规缓速酸能通过对酸岩反应的不同阶段造成影响,从而减缓酸岩反应速率,但由于超高温储层温度已经大大超过如今缓速酸体系承受极限,导致缓速酸黏度下降,不能形成复杂的网状结构阻止酸与岩石的接触,或不能吸附在岩石表面形成有效的阻挡层,从而导致缓蚀剂不能在地下管柱表面形成缓蚀层。因此能在超高温下仍保持一定缓速缓蚀能力的酸液体系成为改造超高温储层十分有效的手段。
现有文献,杨明等在《耐180℃稠化酸体系的制备及性能评价》中设计并制备了一系列聚丙烯酰胺基阳离子型耐温耐酸的稠化剂,并研究了其基本性能;同时,筛选出适合高温酸液用缓蚀剂,结合其余助剂形成耐高温稠化酸,进一步研究稠化酸的性能。经180℃高温高压动态腐蚀测试,N80钢片腐蚀速率仅为41.614g/(m2·h)。在180℃,170s-1下稠化酸体系黏度保持在33.258mPa·s,但对于更高温度的超高温储层,其酸液的整体耐温性仍不能满足要求。
耐高温是酸液体系研究的重点,现有的酸液体系中稠化剂,分子链上的耐高温基团耐高温能力较弱,在剪切作用下,增黏能力几乎丧失,导致目前耐超高温的酸液体系缺失严重。而缓蚀剂能减缓酸液在对地下套管、油管等金属材料的腐蚀,但是目前缓速剂不能保证在超高温下地下管材的耐腐蚀。现有的酸液体系耐超高温能力差,在施工中需通过前期大量的工作降低超高温导致的地层中的影响,增加现场施工的复杂程度,对于超高温储层,现有的酸液体系并不适合。
内容
目的是提供一种耐超高温酸液体系、制备方法及其应用,用于解决现有技术中酸液体系存在耐高温能力差的技术问题。
为达上述目的,一个实施例中提供了一种耐超高温酸液体系,包括以下按重量百分比配比的原料:稠化剂0.4%-0.6%,络合剂0.05%-0.1%,缓蚀剂4%-6%,表面活性剂0.1%-0.3%,稳定剂0.1%-0.3%,余量为盐酸;
稠化剂为丙烯酰胺、2-丙烯酰胺-2-甲基丙磺酸、丙烯酸和二甲基十二烷基(2-丙烯酰胺基乙基)溴化铵的共聚物。
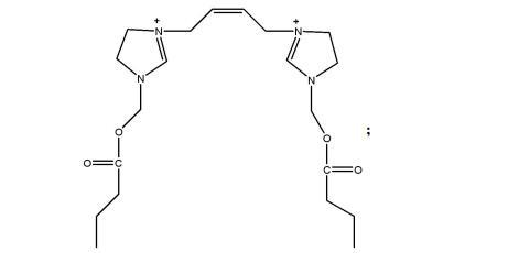
缓蚀剂包括以下按重量百分比配比的原料1,4-二((丁酰氧基)-3-甲基咪唑啉)丁烯15%-30%,小分子醇20%-30%,丙炔醇2%-6%,甲酸5%-10%,烷基聚氧乙烯醚0.5%-2%,余量为水。
丙烯酰胺:2-丙烯酰胺-2-甲基丙磺酸:丙烯酸:二甲基十二烷基(2-丙烯酰胺基乙基)溴化铵的质量百分比为3-4:0.5:0.5:3。
络合剂为三氯化铬水溶液,表面活性剂为全氟葵烷基聚氧乙烯醚水溶液,稳定剂为异抗血酸钠与柠檬酸的混合物。
小分子醇为甲醇和乙二醇的混合物,甲醇和乙二醇的质量比为2-5:1。
烷基聚氧乙烯醚的烷基为辛烷基或葵烷基中的任意一种。
还公开了一种耐超高温酸液体系的制备方法,包括:分别向盐酸中加入稠化剂、缓蚀剂、稳定剂和表面活性剂,混合搅拌均匀,在注入地层时加入络合剂,得到耐超高温酸液体系;
稠化剂的制备方法,包括:向水中加入2-丙烯酰胺-2-甲基丙磺酸,经pH调节后,依次加入丙烯酰胺、丙烯酸和二甲基十二烷基(2-丙烯酰胺基乙基)溴化铵混合搅拌,反应得到稠化剂;
缓蚀剂的制备方法,包括:依次加入小分子醇、丙炔醇、甲酸、1,4-二((丁酰氧基)-3-甲基咪唑啉)丁烯和烷基聚氧乙烯醚搅拌,得到缓蚀剂。
稠化剂的制备方法,包括:向水中加入2-丙烯酰胺-2-甲基丙磺酸,经pH调节后,依次加入丙烯酰胺、丙烯酸和二甲基十二烷基(2-丙烯酰胺基乙基)溴化铵混合搅拌,搅拌完成后加入亚硫酸钠和硫代硫酸钠反应,得到稠化剂。
丙烯酰胺:2-丙烯酰胺-2-甲基丙磺酸:丙烯酸:二甲基十二烷基(2-丙烯酰胺基乙基)溴化铵的质量百分比为3-4:0.5:0.5:3。
1,4-二((丁酰氧基)-3-甲基咪唑啉)丁烯的制备方法,包括:N-羟甲基咪唑啉和酰氯在四氢呋喃中反应,旋蒸得到产物,产物经洗涤后,加入正己烷和1,4-二溴丁烯搅拌反应,过滤后得到1,4-二((丁酰氧基)-3-甲基咪唑啉)丁烯。
酰氯为丁酰氯和己酰氯中的任意一种。
烷基聚氧乙烯醚的烷基为辛烷基或葵烷基中的任意一种,小分子醇为甲醇和乙二醇的混合物,甲醇和乙二醇的质量比为2-5:1。
络合剂为三氯化铬水溶液,表面活性剂为全氟葵烷基聚氧乙烯醚水溶液,稳定剂为异抗血酸钠与柠檬酸的混合物。
效果:
1、耐超高温酸液体系在超高温条件下性能稳定,能高效的发挥缓速作用,促使酸液在超高温条件下能进入更远的地层,增加改造体积;并且耐超高温酸液体系中的缓蚀剂与金属作用能力强,能高效的保护金属管柱,保证超高温条件下施工的安全;耐超高温酸液体系中低表面张力的表面活性剂使施工后的残酸液能快速的返排出地层,减少残酸在地层滞留引起的储层伤害。
2、耐超高温酸液体系交联后的稠化剂粘度大,能有效的减缓酸液的传递速度,降低酸液与岩石反应速度;并且交联后的酸液体系交联密度大,抗剪切能力强,能有效的覆盖在金属表面,避免酸液与金属的接触。
3、耐超高温酸液体系中含有的超高温缓蚀剂通过含有的双键和环结构与金属通过配位键接触,形成络合结构,隔离酸液与金属,避免金属在高温下被酸液腐蚀。
4、耐超高温酸液体系中的表面活性剂在超高温条件下能有效的吸附在岩石表面,降低水与岩石的表面张力,促进反应后的酸液返排出地层。
5、超高温酸液体系能满足在超高温条件下的顺利施工,保障施工效果。